RD T-Series V2 Type-2 ESC

RD T-Series V2 Type-2 ESC

RD T-Series V2 Type-2 ESC

4S-12S, 60A (Weight Optimized)

Product Description

RD T-Series V2 ESC 12S-60A is an advanced Electronic Speed Controller (ESC) designed for high-performance applications. Made in India, this model significantly enhances thermal and current handling capabilities. Housed in a sleek and durable Aluminum enclosure, the ESC offers excellent heat dissipation and protection against harsh environmental conditions.

Wiring Diagram: Click to see.

Key Features

  • Durability: Continuous 60A operation for extended periods with active cooling.
  •  Thermal Management: Continuous 55A operation for 30 minutes with active cooling.
  •  Reliability: Rigorous testing ensures operational stability and durability under various conditions.

Testing and Validation

RD T-SERIES V2 ESC 12S-60A has undergone extensive and rigorous testing to ensure reliability, including:

  • Continuous current durability tests with active cooling at 55A
  • Sync-loss Testing
  • Thermal Testing
  • Step Test
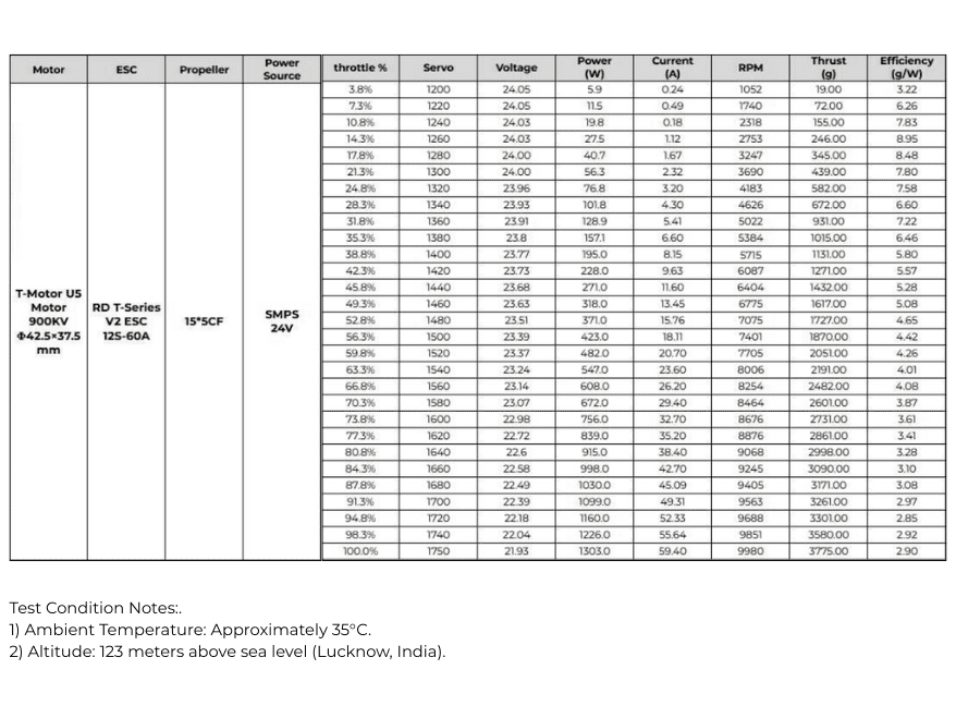
  • Thrust Bench Performance Test

Specifications

Specification Details
Continuous Current Range (With Active Cooling) 60A
Voltage Range 4S–12S
BEC No
Max Operating Temperature 90 °C
Enclosure Yes (Type-2)
Dimensions 55mm × 38.5 mm × 19.5 mm
Weight (ESC Incl. wire) 44 Grams
Weight (With Enclosure Incl. wire) 80 Grams
Telemetry Yes
Current Sense Yes
Communication Protocol PWM, DShot300
Overcurrent Protection Yes
Over Temperature Protection Yes
Stuck Rotor Protection Yes
Startup Protection Yes
Waterproof Rating IP54
Without Enclosure Available Yes
Status Production

Engineering Data

Brochure

Performance Data

3D-CAD File

2D-CAD File